컴퓨터끼리 통신을 하려면 물리적인 케이블 혹은 무선(Bluetooth, WiFi)으로 연결되어야 한다. 이렇게 통신을 위해 연결된 두 대 이상의 컴퓨터들의 집합을 네트워크라고 한다.

n대의 컴퓨터를 연결하여 네트워크를 만들려고 할 때 n * (n - 1) / 2 개의 케이블이 필요하다. 즉, n이 커질수록 케이블 수는 기하급수적으로 늘어나는 문제가 발생한다.

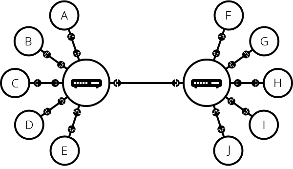
이 문제를 해결하기 위해 라우터(Router)라는 개념이 등장한다. 라우터는 특수한 목적을 가진 컴퓨터로 메세지를 받아서 올바른 목적지(컴퓨터)로 보내는 일을 한다. 모든 컴퓨터를 라우터에 연결하면 n이 커져도 n개의 케이블만으로 모든 컴퓨터 간의 통신이 가능하게 된다.

하지만 n이 계속 커질수록 새로운 문제가 발생하게 된다. 하나의 라우터에 모든 컴퓨터를 연결한다면 라우터가 오동작할 시 전체 네트워크의 신뢰성을 잃게 된다. 여기서 적당한 수의 컴퓨터를 라우터에 연결하여 작은 네트워크를 만들고, 이렇게 만들어진 작은 네트워크들의 라우터들끼리 연결하여 더 큰 네트워크를 만들 수 있다. 이런 방식은 전체 네트워크가 오동작할 리스크를 분담하는 동시에, 네트워크의 크기를 폭발적으로 확장시킬 수 있다.

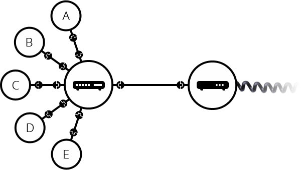
그러나 먼 거리에 있는 컴퓨터 같이 물리적인 제약이 따르는 컴퓨터들은 케이블이나 무선 연결을 할 수 없는 경우가 발생한다. 이런 물리적인 제약 문제를 해결하기 위해 전화선을 이용하게 된다. 전화선은 전세계에 인프라가 구축되어 있기 때문에 네트워크를 전화선에 연결하면 전세계의 어느 곳의 컴퓨터와도 통신할 수 있게 된다. 여기서 모뎀(MoDem)이라는 개념이 등장한다. 모뎀은 Modulator and Demodulator의 줄임말로 컴퓨터에서 보내는 신호를 변조하여 전화선으로 전송하고, 신호를 받는 쪽에서 변조된 신호를 다시 복구하는 역할을 하는 장치이다. 전화선 인프라와 모뎀을 이용하여 전세계적인 네트워크가 가능해지는 것이다.

각각의 작은 네트워크들은 모뎀을 통해 전화선에 연결되어 있지만 메세지의 목적지와 네트워크가 연결되어 있는지 확인하기 어렵다. 이럴 때 작은 네트워크들을 더 큰 네트워크로 연결해주는 특수한 라우터들이 있다. 이런 특수 라우터들은 ISP가 관리한다. ISP는 Internet Service Provider의 약자로 인터넷 사업자를 말한다. 우리나라의 경우 SK 브로드밴드, KT, LG U+ 등을 생각하면 된다. ISP는 전화선과 연결된 라우터들을 관리하고 다른 ISP의 라우터와도 통신할 수 있다. 따라서 하나의 컴퓨터에서 전송된 메세지는 ISP의 네트워크, 그리고 ISP 네트워크의 네트워크를 통해서 목적지까지 전달된다. 이러한 전세계적인 네트워크들의 네트워크를 인터넷이라고 부른다.

용어 정리
네트워크: 통신을 위해 연결된 두 대 이상의 컴퓨터(기기)들의 집합
라우터: 네트워크 상에서 메세지를 받아서 목적지로 보내는 역할을 하는 컴퓨터
모뎀: 아날로그/디지털 신호 변환기로 컴퓨터와 전화선을 연결해주는 역할을 하는 장비
ISP: Internet Service Provider. 인터넷 사업자와 그들이 관리하는 네트워크를 지칭
인터넷: 네트워크들의 네트워크(Network of networks). 전세계적인 네트워크와 인프라를 포괄하는 개념.
이미지 출처: https://developer.mozilla.org/en-US/docs/Learn/Common_questions/How_does_the_Internet_work